Volume of a Conical Frustum (Truncated Cone) Calculator, Formula & Examples
Frustum of a Cone Volume Calculator | Auto unit conversion
📏 Understanding dimensions
- R = larger radius (top/base)
- r = smaller radius
- h = perpendicular height
✔️ Each dimension can have its own unit. Volume result converts to your chosen cubic unit.
📊 Instant Results
🧮 Step‑by‑step calculation
Volume = (π·h)/3 × (R² + R·r + r²) | internal calculation in meters (m) → result converted to chosen unit.
Table of Contents
What is a Frustum?
A frustum is a geometric shape formed when the top of a cone or pyramid is cut off by a plane parallel to its base. It has two parallel circular bases: one larger and one smaller, and a slanted side surface. Common examples include buckets, cups, and containers.
What is a Conical Frustum?
A conical frustum is simply a cone with its top cut off. Instead of coming to a sharp point, it has two circular ends, a larger base at the bottom and a smaller one at the top. You’ll often see this shape in everyday objects like buckets, paper cups, some funnels, and storage containers. It’s a very practical shape because it is stable, easy to stack, and efficient for holding liquids or materials.
Real-World use cases – why do you need to calculate its volume?
Knowing the volume of a frustum is important when you need to figure out how much something can hold. For example, water tanks, grain silos, industrial containers, and even pipes sometimes use this shape. If you’re in construction, engineering, or even DIY projects, calculating the correct volume helps avoid overfilling or underestimating capacity. It also helps in cost estimation, material planning, and design accuracy.
A cone has a pointed top, while a frustum is a cone with the top cut off, resulting in two circular surfaces.
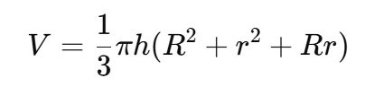
Frustum Cone Volume Formula
The frustum cone volume (also called the truncated cone volume formula) is:
- V = (1/3) π h (R² + r² + Rr)
This formula helps you quickly find the volume of a shape formed when the top of a cone is cut off. It is widely used in geometry, engineering, and even in everyday tools like a frustum calculator.
What Each Variable Means
R = radius of the bottom (larger circle)
r = radius of the top (smaller circle)
h = vertical height between the two circles
π (pi) ≈ 3.1416
To use the truncated cone volume formula, you simply plug in these values and solve step by step.
Real-World Meaning
This formula is not just for math problems, but it’s used in real life more often than you think. For example, when calculating the capacity of a bucket, water tank, or even a coffee cup, you are actually finding the volume of a conical frustum.
Many industries like construction and manufacturing rely on this formula to estimate material volume and storage capacity. That’s why tools like a frustum volume calculator are so useful that they save time and reduce errors.
How to Calculate Volume of a Frustum
Calculating the volume of a frustum (a cone with its top cut off) is simple when you follow the steps in order. The formula uses the radii of both circular ends and the height of the frustum.
Step-by-Step Calculation
Step 1: Identify the values
- R = radius of the larger (bottom) circle
- r = radius of the smaller (top) circle
- h = height of the frustum
Make sure all values are in the same unit (cm, m, inches, etc.).
Step 2: Square the radii
Now calculate:
- 𝑅2
- 𝑟2
- 𝑅 × 𝑟
These values will be used in the formula.
Step 3: Apply the formula
The formula for the volume of a frustum is:

This formula combines the areas of both circles and their interaction.
Step 4: Multiply and divide
- Add all terms inside brackets
- Multiply by height ℎ
- Multiply by π (≈ 3.1416)
- Finally, divide by 3
This gives the volume of the frustum.
V = (1/3) × π × h × (R² + r² + Rr)
Where: R = base radius
r = top radius
h = height
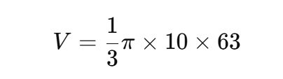
Example Calculation – Calculate the volume of the frustum
Practice Question:
A frustum-shaped container has:
- Bottom radius = 6 cm
- Top radius = 3 cm
- Height = 10 cm
- Calculate the volume of the frustum.
- Also express your answer in cubic centimeters (cm³) and liters (L).
This question is asking you to find the space inside a frustum, which is a cone with its top cut off.
To solve this:
- You are given all three required values: R, r, and h
- You need to apply the standard frustum volume formula
👉 According to geometry concepts, volume depends on both circular ends and the height, which shows how shapes in space are measured and understood.
Step 1: Square the radii
- 𝑅2 = 62 = 36
- 𝑟2 = 32 = 9
- 𝑅 × 𝑟 = 6 × 3 = 18
Step 2: Add values
36 + 9 + 18 = 63
Step 3: Apply formula

Step 4: Calculate final value

Final Answer in Multiple Units:
- 659.73 cubic centimeters (cm³)
- 0.000659 cubic meters (m³)
- 0.659 liters (L)
Frustum Volume Conversion Table (mm³ to mL, Liters, Gallons, ft³, in³)
Below is a comprehensive conversion table to help you easily convert frustum volume values from cubic millimeters (mm³) into milliliters (mL), liters (L), US gallons, cubic feet (ft³), and cubic inches (in³).
| Volume (mm³) | Milliliters (mL) | Liters (L) | US Gallons | Cubic Feet (ft³) | Cubic Inches (in³) |
|---|---|---|---|---|---|
| 1 | 0.001 | 0.00000100 | 0.00000026 | 0.0000000353 | 0.00006102 |
| 2 | 0.002 | 0.00000200 | 0.00000053 | 0.0000000706 | 0.00012205 |
| 3 | 0.003 | 0.00000300 | 0.00000079 | 0.0000001059 | 0.00018307 |
| 4 | 0.004 | 0.00000400 | 0.00000106 | 0.0000001413 | 0.00024409 |
| 5 | 0.005 | 0.00000500 | 0.00000132 | 0.0000001766 | 0.00030512 |
| 6 | 0.006 | 0.00000600 | 0.00000159 | 0.0000002119 | 0.00036614 |
| 7 | 0.007 | 0.00000700 | 0.00000185 | 0.0000002472 | 0.00042717 |
| 8 | 0.008 | 0.00000800 | 0.00000211 | 0.0000002825 | 0.00048819 |
| 9 | 0.009 | 0.00000900 | 0.00000238 | 0.0000003178 | 0.00054921 |
| 10 | 0.010 | 0.00001000 | 0.00000264 | 0.0000003531 | 0.00061024 |
| 15 | 0.015 | 0.00001500 | 0.00000396 | 0.0000005297 | 0.00091536 |
| 20 | 0.020 | 0.00002000 | 0.00000528 | 0.0000007063 | 0.00122047 |
| 25 | 0.025 | 0.00002500 | 0.00000660 | 0.0000008829 | 0.00152559 |
| 30 | 0.030 | 0.00003000 | 0.00000793 | 0.0000010594 | 0.00183071 |
| 35 | 0.035 | 0.00003500 | 0.00000925 | 0.0000012360 | 0.00213583 |
| 40 | 0.040 | 0.00004000 | 0.00001057 | 0.0000014126 | 0.00244095 |
| 45 | 0.045 | 0.00004500 | 0.00001189 | 0.0000015892 | 0.00274607 |
| 50 | 0.050 | 0.00005000 | 0.00001321 | 0.0000017657 | 0.00305119 |
This table helps you quickly convert small frustum volumes into practical units used in engineering, construction, fluid measurement, and academic calculations.
Frustum Volume Conversion Table (cm³ to mL, Liters, Gallons, ft³, in³)
Use this conversion table to easily convert frustum volume values from cubic centimeters (cm³) into milliliters (mL), liters (L), US gallons, cubic feet (ft³), and cubic inches (in³) for academic, engineering, and practical applications.
| Volume (cm³) | Milliliters (mL) | Liters (L) | US Gallons | Cubic Feet (ft³) | Cubic Inches (in³) |
|---|---|---|---|---|---|
| 1 | 1 | 0.001 | 0.00026417 | 0.00003531 | 0.0610237 |
| 2 | 2 | 0.002 | 0.00052834 | 0.00007063 | 0.1220474 |
| 3 | 3 | 0.003 | 0.00079252 | 0.00010594 | 0.1830711 |
| 4 | 4 | 0.004 | 0.00105669 | 0.00014126 | 0.2440948 |
| 5 | 5 | 0.005 | 0.00132086 | 0.00017657 | 0.3051185 |
| 6 | 6 | 0.006 | 0.00158503 | 0.00021189 | 0.3661422 |
| 7 | 7 | 0.007 | 0.00184920 | 0.00024720 | 0.4271659 |
| 8 | 8 | 0.008 | 0.00211338 | 0.00028252 | 0.4881896 |
| 9 | 9 | 0.009 | 0.00237755 | 0.00031783 | 0.5492133 |
| 10 | 10 | 0.010 | 0.00264172 | 0.00035315 | 0.6102370 |
| 15 | 15 | 0.015 | 0.00396258 | 0.00052972 | 0.9153555 |
| 20 | 20 | 0.020 | 0.00528344 | 0.00070629 | 1.2204740 |
| 25 | 25 | 0.025 | 0.00660430 | 0.00088287 | 1.5255925 |
| 30 | 30 | 0.030 | 0.00792516 | 0.00105944 | 1.8307110 |
| 35 | 35 | 0.035 | 0.00924602 | 0.00123601 | 2.1358295 |
| 40 | 40 | 0.040 | 0.01056688 | 0.00141259 | 2.4409480 |
| 45 | 45 | 0.045 | 0.01188774 | 0.00158916 | 2.7460665 |
| 50 | 50 | 0.050 | 0.01320860 | 0.00176573 | 3.0511850 |
This table allows quick and accurate conversion of frustum volumes into multiple units, making it ideal for students, engineers, and professionals working with geometric calculations.
Frustum Volume Conversion Table (in³ to mL, Liters, Gallons, ft³)
Below is a detailed conversion table to convert frustum volume values from cubic inches (in³) into milliliters (mL), liters (L), US gallons, and cubic feet (ft³) for accurate and fast calculations.
| Volume (in³) | Milliliters (mL) | Liters (L) | US Gallons | Cubic Feet (ft³) |
|---|---|---|---|---|
| 1 | 16.387 | 0.016387 | 0.004329 | 0.0005787 |
| 2 | 32.774 | 0.032774 | 0.008658 | 0.0011574 |
| 3 | 49.161 | 0.049161 | 0.012987 | 0.0017361 |
| 4 | 65.548 | 0.065548 | 0.017316 | 0.0023148 |
| 5 | 81.935 | 0.081935 | 0.021645 | 0.0028935 |
| 6 | 98.322 | 0.098322 | 0.025974 | 0.0034722 |
| 7 | 114.709 | 0.114709 | 0.030303 | 0.0040509 |
| 8 | 131.097 | 0.131097 | 0.034632 | 0.0046296 |
| 9 | 147.484 | 0.147484 | 0.038961 | 0.0052083 |
| 10 | 163.871 | 0.163871 | 0.043290 | 0.0057870 |
| 15 | 245.806 | 0.245806 | 0.064935 | 0.0086805 |
| 20 | 327.742 | 0.327742 | 0.086580 | 0.0115741 |
| 25 | 409.677 | 0.409677 | 0.108225 | 0.0144676 |
| 30 | 491.612 | 0.491612 | 0.129870 | 0.0173611 |
| 35 | 573.548 | 0.573548 | 0.151515 | 0.0202546 |
| 40 | 655.483 | 0.655483 | 0.173160 | 0.0231481 |
| 45 | 737.418 | 0.737418 | 0.194805 | 0.0260417 |
| 50 | 819.353 | 0.819353 | 0.216450 | 0.0289352 |
This table helps you quickly convert cubic inch values into commonly used volume units, making it ideal for practical applications, education, and technical calculations.
Frustum Volume Conversion Table (ft³ to mL, Liters, Gallons, yd³, m³)
Below is a comprehensive conversion table to convert frustum volume values from cubic feet (ft³) into milliliters (mL), liters (L), US gallons, cubic yards (yd³), and cubic meters (m³).
| Volume (ft³) | Milliliters (mL) | Liters (L) | US Gallons | Cubic Yards (yd³) | Cubic Meters (m³) |
|---|---|---|---|---|---|
| 1 | 28,316.85 | 28.3168 | 7.48052 | 0.037037 | 0.0283168 |
| 2 | 56,633.70 | 56.6337 | 14.96104 | 0.074074 | 0.0566337 |
| 3 | 84,950.55 | 84.9505 | 22.44156 | 0.111111 | 0.0849505 |
| 4 | 113,267.40 | 113.2674 | 29.92208 | 0.148148 | 0.1132674 |
| 5 | 141,584.25 | 141.5842 | 37.40260 | 0.185185 | 0.1415842 |
| 6 | 169,901.10 | 169.9011 | 44.88312 | 0.222222 | 0.1699011 |
| 7 | 198,217.95 | 198.2179 | 52.36364 | 0.259259 | 0.1982179 |
| 8 | 226,534.80 | 226.5348 | 59.84416 | 0.296296 | 0.2265348 |
| 9 | 254,851.65 | 254.8516 | 67.32468 | 0.333333 | 0.2548516 |
| 10 | 283,168.50 | 283.1685 | 74.80520 | 0.370370 | 0.2831685 |
| 15 | 424,752.75 | 424.7527 | 112.20780 | 0.555556 | 0.4247527 |
| 20 | 566,337.00 | 566.3369 | 149.61040 | 0.740741 | 0.5663369 |
| 25 | 707,921.25 | 707.9212 | 187.01300 | 0.925926 | 0.7079212 |
| 30 | 849,505.50 | 849.5054 | 224.41560 | 1.111111 | 0.8495054 |
| 35 | 991,089.75 | 991.0896 | 261.81820 | 1.296296 | 0.9910896 |
| 40 | 1,132,674.00 | 1,132.6739 | 299.22080 | 1.481481 | 1.1326739 |
| 45 | 1,274,258.25 | 1,274.2581 | 336.62340 | 1.666667 | 1.2742581 |
| 50 | 1,415,842.50 | 1,415.8423 | 374.02600 | 1.851852 | 1.4158423 |
This table provides fast and accurate conversions of cubic feet into commonly used volume units, helping professionals and students perform efficient and precise calculations.
Frustum Volume Conversion Table (yd³ to mL, Liters, Gallons, ft³, m³)
Below is a detailed conversion table to convert frustum volume values from cubic yards (yd³) into milliliters (mL), liters (L), US gallons, cubic feet (ft³), and cubic meters (m³).
| Volume (yd³) | Milliliters (mL) | Liters (L) | US Gallons | Cubic Feet (ft³) | Cubic Meters (m³) |
|---|---|---|---|---|---|
| 1 | 764,555 | 764.555 | 201.974 | 27 | 0.764555 |
| 2 | 1,529,110 | 1,529.110 | 403.948 | 54 | 1.529110 |
| 3 | 2,293,665 | 2,293.665 | 605.922 | 81 | 2.293665 |
| 4 | 3,058,220 | 3,058.220 | 807.896 | 108 | 3.058220 |
| 5 | 3,822,775 | 3,822.775 | 1,009.870 | 135 | 3.822775 |
| 6 | 4,587,330 | 4,587.330 | 1,211.844 | 162 | 4.587330 |
| 7 | 5,351,885 | 5,351.885 | 1,413.818 | 189 | 5.351885 |
| 8 | 6,116,440 | 6,116.440 | 1,615.792 | 216 | 6.116440 |
| 9 | 6,880,995 | 6,880.995 | 1,817.766 | 243 | 6.880995 |
| 10 | 7,645,550 | 7,645.550 | 2,019.740 | 270 | 7.645550 |
| 15 | 11,468,325 | 11,468.325 | 3,029.610 | 405 | 11.468325 |
| 20 | 15,291,100 | 15,291.100 | 4,039.480 | 540 | 15.291100 |
| 25 | 19,113,875 | 19,113.875 | 5,049.350 | 675 | 19.113875 |
| 30 | 22,936,650 | 22,936.650 | 6,059.220 | 810 | 22.936650 |
| 35 | 26,759,425 | 26,759.425 | 7,069.090 | 945 | 26.759425 |
| 40 | 30,582,200 | 30,582.200 | 8,078.960 | 1,080 | 30.582200 |
| 45 | 34,404,975 | 34,404.975 | 9,088.830 | 1,215 | 34.404975 |
| 50 | 38,227,750 | 38,227.750 | 10,098.700 | 1,350 | 38.227750 |
This table provides quick and accurate conversions for cubic yard volumes into commonly used units, helping professionals and students perform efficient volume calculations.
Frustum Volume Conversion Table (m³ to mL, Liters, Gallons, ft³, yd³)
Below is a comprehensive conversion table to convert frustum volume values from cubic meters (m³) into milliliters (mL), liters (L), US gallons, cubic feet (ft³), and cubic yards (yd³).
| Volume (m³) | Milliliters (mL) | Liters (L) | US Gallons | Cubic Feet (ft³) | Cubic Yards (yd³) |
|---|---|---|---|---|---|
| 1 | 1,000,000 | 1,000 | 264.172 | 35.315 | 1.308 |
| 2 | 2,000,000 | 2,000 | 528.344 | 70.629 | 2.615 |
| 3 | 3,000,000 | 3,000 | 792.516 | 105.944 | 3.923 |
| 4 | 4,000,000 | 4,000 | 1,056.688 | 141.259 | 5.231 |
| 5 | 5,000,000 | 5,000 | 1,320.860 | 176.573 | 6.539 |
| 6 | 6,000,000 | 6,000 | 1,585.032 | 211.888 | 7.846 |
| 7 | 7,000,000 | 7,000 | 1,849.204 | 247.203 | 9.154 |
| 8 | 8,000,000 | 8,000 | 2,113.376 | 282.517 | 10.462 |
| 9 | 9,000,000 | 9,000 | 2,377.548 | 317.832 | 11.770 |
| 10 | 10,000,000 | 10,000 | 2,641.720 | 353.147 | 13.077 |
| 15 | 15,000,000 | 15,000 | 3,962.580 | 529.720 | 19.616 |
| 20 | 20,000,000 | 20,000 | 5,283.440 | 706.294 | 26.154 |
| 25 | 25,000,000 | 25,000 | 6,604.300 | 882.867 | 32.692 |
| 30 | 30,000,000 | 30,000 | 7,925.160 | 1,059.440 | 39.231 |
| 35 | 35,000,000 | 35,000 | 9,246.020 | 1,236.014 | 45.769 |
| 40 | 40,000,000 | 40,000 | 10,566.880 | 1,412.587 | 52.308 |
| 45 | 45,000,000 | 45,000 | 11,887.740 | 1,589.160 | 58.846 |
| 50 | 50,000,000 | 50,000 | 13,208.600 | 1,765.734 | 65.385 |
This table allows quick and accurate conversion of frustum volumes from cubic meters into commonly used units for practical, academic, and industrial applications.
Mega Volume Conversion Chart (US Units)
| Unit | Liters (L) | US Gallons | Cubic Feet (ft³) | Cubic Inches (in³) | Milliliters (mL) |
|---|---|---|---|---|---|
| 1 mm³ | 0.000001 L | 0.000000264 gal | 3.53×10⁻⁸ ft³ | 0.000061 in³ | 0.001 mL |
| 1 cm³ | 0.001 L | 0.000264 gal | 0.0000353 ft³ | 0.0610 in³ | 1 mL |
| 1 in³ | 0.0164 L | 0.00433 gal | 0.0005787 ft³ | 1 in³ | 16.387 mL |
| 1 ft³ | 28.32 L | 7.48 gal | 1 ft³ | 1728 in³ | 28,316 mL |
| 1 yd³ | 764.55 L | 201.97 gal | 27 ft³ | 46,656 in³ | 764,555 mL |
| 1 m³ | 1000 L | 264.17 gal | 35.31 ft³ | 61,023.7 in³ | 1,000,000 mL |
Mega Volume Conversion Chart (UK / Imperial Units)
| Unit | Liters (L) | UK Gallons | Cubic Feet (ft³) | Cubic Inches (in³) | Milliliters (mL) | UK Fluid Ounces |
|---|---|---|---|---|---|---|
| 1 mm³ | 0.000001 L | 0.00000022 gal | 3.53×10⁻⁸ ft³ | 0.000061 in³ | 0.001 mL | 0.000035 fl oz |
| 1 cm³ | 0.001 L | 0.00022 gal | 0.0000353 ft³ | 0.0610 in³ | 1 mL | 0.0352 fl oz |
| 1 in³ | 0.0164 L | 0.00360 gal | 0.0005787 ft³ | 1 in³ | 16.387 mL | 0.577 fl oz |
| 1 ft³ | 28.32 L | 6.23 gal | 1 ft³ | 1728 in³ | 28,316 mL | 996.6 fl oz |
| 1 yd³ | 764.55 L | 168.18 gal | 27 ft³ | 46,656 in³ | 764,555 mL | 26,900 fl oz |
| 1 m³ | 1000 L | 219.97 gal | 35.31 ft³ | 61,023.7 in³ | 1,000,000 mL | 35,195 fl oz |
Real life applications of Frustum Volume – Truncated Cone
Construction & Civil Engineering
Frustum calculations are used for structures like tapered columns, bridge piers, water tanks, and foundations. Engineers calculate volume to estimate materials like concrete and cost.
Packaging & Manufacturing
Many containers, such as paper cups, buckets, and food containers have a frustum shape. Manufacturers use volume formulas to determine capacity and optimize material usage.
Chemical & Pharmaceutical Industries
Storage tanks and reactors often have conical or truncated sections. Accurate volume measurement ensures proper mixing, dosing, and safety compliance.
Agriculture & Irrigation Systems
Silos, grain storage bins, and irrigation funnels are often frustum-shaped. Farmers calculate volume to estimate storage capacity and water flow.
Mining & Excavation
When digging pits or trenches with sloped sides, the removed earth forms a frustum shape. Volume calculations help estimate excavation quantities.
3D Modeling & Computer Graphics
Frustum volumes are used in rendering (view frustum) and object modeling for realistic simulations and game development.
Food Industry
Items like cakes, glasses, and molds often resemble frustums. Bakers and chefs use volume calculations for portioning and scaling recipes.
Cone Frustum: Volume vs Height Growth (Graph)
The graph showing volume vs height of a frustum cone has an upward-curving shape.
This means the volume increases as the height increases, but not in a simple straight line.
- At first, when the height (h) is small, the volume increases slowly.
- As the height grows, the volume starts increasing faster.
- This creates a curved (non-linear) graph, not a straight line.
Why does this relationship exist?
The main reason comes from the frustum volume formula: V = (1/3)πh(R² + r² + Rr)
- Volume depends directly on height (h), but also on the radii (R and r).
- As height increases, the shape becomes “taller,” so more space is added.
But there is more happening:
- The top and bottom circles stay the same size
- The side surface stretches, adding more volume layer by layer
- Each added layer is slightly larger than the one above it
Important Insight
- As Height ↑ → Volume ↑
- Growth is curved (non-linear)
- Larger radii = faster increase in volume
Real-World Graphic Relation
This is why containers like buckets or tanks hold much more liquid when filled higher.
Even a small increase in height near the bottom adds a lot of extra volume.
Cone frustum – Radius vs Volume Growth (Graph)
The graph shows how the volume of a frustum cone changes when the radii (R and r) increase.
The key takeaway is simple: As the radius increases, the volume increases very quickly (not linear relationship).
Why Volume Grows So Fast
The frustum volume formula includes:
- R² (larger radius squared)
- r² (smaller radius squared)
- R × r (interaction term)
Because of these squared terms, even a small increase in radius leads to a much bigger increase in volume.
- Doubling the radius does not just double the volume
- It can increase the volume by 3–4 times or more
Understanding the Graph
- The curve going upward shows accelerated growth
- The line for R (larger radius) rises faster than r
This means the bottom radius has a bigger impact on volume
The wider the base, the more space the shape can hold
Important Insight
- Radius ↑ → Volume ↑↑ (faster growth)
- Larger base (R) affects volume more than smaller base (r)
- Relationship is non-linear and exponential-like
Real-World Graphic Relation
- A slightly wider tank holds much more liquid
- Buckets with larger bases fill faster in terms of volume
- Industrial containers are designed with wider bottoms
Common Mistakes to avoid when Calculating Frustum Volume
One of the most common mistakes is mixing up radius and diameter. The formula needs the radius, which is half of the diameter. Many people directly use the diameter value, which makes the final answer much larger than it should be. Always double-check your values and divide the diameter by 2 before using it.
Forgetting the Rr Term
The frustum formula has three parts inside the bracket: R² + r² + Rr. A lot of users forget the Rr term (the product of both radii). This small mistake can lead to a big error in volume. Make sure you include all three terms, not just the squares.
Unit Mismatch
Another common issue is using different units for inputs. For example, using height in meters and radius in centimeters will give the wrong result. Always keep all values in the same unit system before calculating.
Always use a frustum calculator with unit conversion to avoid this problem and get accurate results instantly.
- Using diameter instead of radius
- Forgetting the Rr term
- Mixing units (cm vs meters)
Frequently Asked Questions
What is the formula for frustum volume?
The volume of a frustum of a cone is calculated using the formula V = (1/3)πh(R² + r² + Rr), where R is the larger radius, r is the smaller radius, and h is the height.
How do you calculate truncated cone volume?
To calculate truncated cone volume, measure the larger radius (R), smaller radius (r), and height (h), then apply the formula V = (1/3)πh(R² + r² + Rr) and solve step by step.
What is R and r in frustum formula?
In the frustum formula, R represents the radius of the bottom base, while r represents the radius of the top base.
Can frustum volume be negative?
No, frustum volume cannot be negative because volume represents physical space, which is always a positive value.
How to convert frustum volume to liters?
To convert frustum volume to liters, first calculate the volume in cubic meters or cubic centimeters, then use conversion factors such as 1 m³ = 1000 liters or 1 cm³ = 0.001 liters.
What is difference between cone and frustum?
A cone has a single pointed top, while a frustum is formed when the top of a cone is cut off, resulting in two circular faces.
How is frustum formula derived?
The frustum formula is derived by subtracting the volume of a smaller cone from a larger cone, leaving the remaining truncated portion.
What is slant height vs vertical height?
Slant height is the angled distance along the side of the frustum, while vertical height is the straight distance between the top and bottom bases.
Where is frustum used in real life?
Frustums are used in buckets, tanks, chimneys, silos, and packaging designs where a tapered shape is required.
How accurate is frustum calculator?
A frustum calculator is highly accurate when correct input values are used, as it applies a standard mathematical formula.
What happens if r = 0?
If the smaller radius r = 0, the frustum becomes a full cone, and the formula simplifies to the standard cone volume formula.
References
The following trusted academic and educational sources support the formulas, concepts, and real-world applications discussed on this page:
-
UC San Diego – Frustum Volume Formula (Lecture Notes)
Explains and verifies the standard frustum volume formula using calculus-based methods. -
Utah State University – Precalculus Geometry Applications
Includes practical problems and applications involving conical shapes and volume calculations. -
Wolfram MathWorld – Conical Frustum
Offers a detailed mathematical definition and derivation of the conical frustum volume formula.
Related Calculators
- Ellipsoid Volume Calculator
- Frustum Volume Calculator (Cone)
- Frustum Volume Calculator (Pyramid)
- Pipe Volume Calculator
