Pipe Volume Calculator
Pipe Volume Calculator centimeter, inches, feet
↗️ comma allowed: e.g. 1,500.75 → 1500.75
📋 Volume results (2 decimals)
* pounds based on water density (1 kg/L ≈ 2.20462 lb)
Pipe Volume Formula
𝑉 = 𝜋.𝑟2.𝐿 Where:- V = volume
- π (pi) = 3.1416
- r = inside radius of pipe
- L = length of pipe
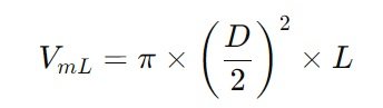
Volume in Milliliters (mL)
A milliliter is a tiny amount of liquid. Think of a medicine cup or a small shot of espresso, that’s usually around 30 to 50 mL. If your pipe holds 250 mL, that’s about one small coffee cup. It helps when you’re measuring small amounts of fluid.
If diameter and length are in centimeters (cm):
Formula in milliliters:

Since 1 cubic centimeter = 1 mL, the result will already be in milliliters.
Example:
Pipe diameter = 4 cm
Pipe length = 100 cm

Volume in Liters (L)
A liter is what we use for bigger amounts, like a bottle of soda. If your pipe volume shows 2 liters, that’s about half a gallon. It’s a good way to picture how much water or liquid would fill that pipe in everyday life. 1 L=1000 mL
Formula in liters
Example: 1256.64 𝑚𝐿 in liter = 1256.64/1000 = 1.256𝐿
Volume in Gallons (US)
In the United States, gallons are used for gas and big water jugs. One US gallon is about 3.8 liters. If your pipe holds 5 gallons, imagine filling it with two of those big blue water cooler bottles. Handy for plumbing or pool work.
Numbers to remember: These are stanndard values
- 1 US gallon = 3.78541 Liter
- 1 cubic inch = 0.004329 US gallons
Formula in US Gallon
(when dimensions are in cm)
Volume in Gallons (UK) Imperial
UK gallons are a little bigger than US gallons. One UK gallon holds about 4.5 liters. You might see this measurement in older British recipes or some industrial tanks. It’s good to know if you’re working with international specs.
To be precise 1 UK gallon=4.54609 L
Formula in UK Gallon (Imperial)

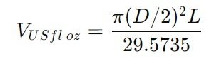
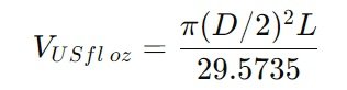
Volume in Fluid Ounces (US)
A US fluid ounce is small, about the amount in one shot glass. There are 128 ounces in a US gallon. So if your pipe holds 64 fluid ounces, that’s half a gallon. Useful for smaller pipes or when you’re mixing chemicals.
To be precise 1 US fl oz = 29.5735 mL
Formula in Fluid ounces (US)

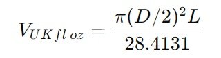
Volume in Fluid Ounces (UK)
UK fluid ounces are slightly smaller than US ones. They’re often used in British cooking or medicine. If you see this number, just know it’s a little different than the US version. Good for double checking if you’re using an old-world recipe.
To be precise 1 UK fl oz = 28.4131 ml
Formula in Fluid ounces (UK)

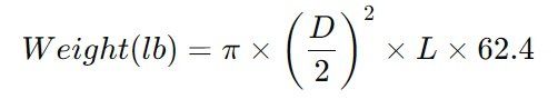
Volume in Pounds (water)
This one tells you how much the water inside the pipe weighs. One gallon of water weighs about 8.34 pounds. So if your pipe holds 10 gallons, that’s over 80 pounds of water. Important if you’re supporting a pipe from the ceiling or floor.
Water weight is often useful in plumbing and tank calculations.
Formula in Pounds
If pipe diameter and length are in feet:

Where:
D = inside diameter of pipe (feet)
L = pipe length (feet)
62.4 = average weight of water per cubic foot
If pipe diameter and length are in inches:

Where:
D = inside diameter in inches
L = pipe length in feet
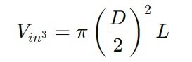
Volume in Cubic Inches
A cubic inch is a tiny cube, one inch on each side. Think of a small die from a board game. Pipe volume in cubic inches helps if you’re working in machining or building things where inches are the main unit. It’s the raw math before converting to liquid.
Formula in cubic inches

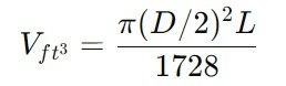
Volume in Cubic Feet
A cubic foot is a box about the size of a milk crate. It holds about 7.5 gallons. If your pipe volume shows 2 cubic feet, that’s around 15 gallons. Good for HVAC work, concrete pours, or just understanding space inside a pipe.
1 cubic foot=1728 cubic inches
Formula in cubic feet

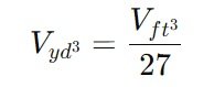
Volume in Cubic Yards
A cubic yard is huge. Picture a big yard waste bin or a small dumpster. One cubic yard holds about 202 gallons. If your pipe volume shows up in cubic yards, you’re probably dealing with major construction or earthwork. It’s the big-picture view.
1 cubic yard = 27 cubic feet
Formula in cubic yards

Volume in Cubic Meters
A cubic meter is a big cube—like a large washing machine. It holds about 264 gallons. If your pipe holds 0.5 cubic meters, that’s a lot of water. Engineers use this for large-scale projects like pipelines or water treatment.
Formula in cubic meter

Where:
D = inside diameter (meters)
L = pipe length (meters)
Real Life Examples
Question 1
A cylindrical pipe has an inner diameter of 5 cm and a length of 100 cm. How much water does this pipe hold in milliliters (mL)?
Formula: Volume = 𝜋 × 𝑟2 × ℎ
Where:
𝑟 = radius of pipe (cm)
ℎ = length of pipe (cm)
Volume in cubic centimeters (1 cm³ = 1 mL)
Solution:
Radius 𝑟 = 5/2 = 2.5
Length ℎ = 100cm
Volume = 3.1416 × (2.5)2 × 100
= 3.1416 × 6.25 × 100
= 1963.5 cm³ = 1963.5 mL
Answer: 1963.5 mL
Explanation: Multiply π by the square of the radius and the pipe length. Since 1 cm³ = 1 mL, the volume in cubic centimeters is the same as milliliters.
Question 2
A water pipe has an inner radius of 2 inches and a length of 5 feet. Find pipe volume in US gallons.
Formula:
Volume (gallons) = 𝜋 × 𝑟2 × ℎ × 0.004329
Solution:
Radius 𝑟 = 2 inches
Length ℎ = 5 feet = 60 inches
1 cubic inch = 0.004329 US gallons
Volume = 3.1416 × 22 × 60 × 0.004329
= 3.1416 × 4 × 60 × 0.004329
= 753.98 × 0.004329
≈ 3.26 US gallons
Answer: 3.26 US gallons
Explanation: Use the cylinder volume formula with radius and length in inches. Then multiply by 0.004329 to convert cubic inches to US gallons.
Pipe Volume Calculations – Frequently Asked Questions
How do you calculate the volume of a pipe step by step?
To calculate pipe volume, first measure the inner diameter and length of the pipe. Divide the diameter by 2 to get the radius, then use the formula π × radius² × length. This gives the volume in cubic units, which can be converted to gallons or liters.
What is the formula for calculating pipe volume?
The formula for pipe volume is: Volume = π × r² × h, where r is the radius and h is the length of the pipe. This formula treats the pipe as a cylinder.
How do I calculate the volume of water inside a pipe?
You can calculate the water volume inside a pipe by using the internal diameter and pipe length. Apply the cylinder formula (π × r² × h) and convert the result into gallons or liters based on your needs.
How to calculate pipe volume in gallons easily?
First calculate the volume in cubic inches using π × r² × length. Then multiply the result by 0.004329 to convert cubic inches into US gallons.
What is the pipe volume formula using diameter and length?
The formula using diameter is: Volume = π × (diameter ÷ 2)² × length. This helps calculate the internal volume of a pipe quickly.
How much water can a pipe hold based on its size?
The amount of water a pipe can hold depends on its internal diameter and length. Larger diameter and longer pipes hold more water because volume increases with the square of the radius.
How do you convert pipe volume into gallons or liters?
After calculating volume in cubic units, convert it using standard conversions. For example, 1 cubic inch equals 0.004329 gallons, and 1 cubic centimeter equals 1 milliliter.
What is the difference between pipe volume and pipe capacity?
Pipe volume refers to the internal space inside the pipe, while pipe capacity usually refers to how much fluid the pipe can carry during flow over time.
How to calculate the internal volume of a cylindrical pipe?
The internal volume of a cylindrical pipe is calculated using π × r² × length. Make sure to use the internal diameter for accurate results.
How does pipe diameter affect the total volume of a pipe?
Pipe diameter has a major impact on volume because the radius is squared in the formula. Even a small increase in diameter can significantly increase the total volume.
References
We use reliable and educational sources to ensure accurate pipe volume calculations and formulas.
-
Washington State University – Pipe Water Velocity and Diameter Calculator
This educational tool explains how flow rate, pipe diameter, and velocity are related in real pipe systems, helping support practical pipe calculations. :contentReference[oaicite:0]{index=0}
-
Caesar Cipher – Pipe Volume Calculation Plumbing Guide
A simple guide that explains how to calculate pipe volume using diameter and length, along with real-world plumbing examples.
Other Volume Calculators
- Ellipsoid Volume Calculator
- Frustum Volume Calculator (Cone)
- Frustum Volume Calculator (Pyramid)
- Pipe Volume Calculator
